Email : nhadepthudo789@gmail.com
Hotline : 0978987813
Biệt thự Him Lam Vĩnh Tuy ( tên thương mại Long Biên Golf Villas) là tổ hợp biệt thự, liền kề do chủ đầu tư Him Lam phát triển. Dự án với 112 căn biệt thự cao cấp thiết kế 5 tầng. Mở bán tháng 12/2025, giá bán từ 400 triệu/m2.

Chính sách HTLS 18 tháng 70%
Ưu đãi 5 năm phí dịch vụ
Chiết khấu đến 9%
Miễn phí 5 năm chơi golf trị giá 1,5 tỉ đồng.
Giá bán ưu đãi đợt 1, view sân golf Long Biên.
Phòng Kinh Doanh: 0961 225 991 (call/zalo)
Zalo tài liệu và bảng giá: https://zalo.me/0961225991
Khu Biệt thự Him Lam Vĩnh Tuy nằm kề bên sân Golf Long Biên
Dự án Him Lam Vĩnh Tuy với sản phẩm là 112 lô biệt thự cao cấp với hoàn thiện riêng, thiết kế bể bơi riêng, thang máy riêng trong từng biệt thự.
| Tên gọi: | Khu nhà ở Him Lam Vĩnh Tuy |
| Vị trí: | Phường Long Biên, thành phố Hà Nội |
| Chủ đầu tư: | Công ty Cổ Phần Him Lam |
| Quy mô | Diện tích xây dựng: 21.775 m2 Mật độ XD: 13,5% hần lớn không gian cho tiện ích cảnh quan Tổng diện tích quy hoạch: 162.391 m2 |
| Sản phẩm: |
112 Biệt Thự, 5 tầng |
| Sở hữu: | Sổ hồng lâu dài |
| Giá bán: | Từ 400 triệu/m2 |
| Hotline: | 0961 225 991 |
Phối cảnh biệt thự Him Lam Vĩnh Tuy
Dự án Biệt thự Him Lam Vĩnh Tuy sở hữu vị trí đắc địa trên trục đường Vũ Lập, phường Long Biên, Hà Nội sát cạnh sân Golf Long Biên đã đi vào hoạt động. Không khí trong lành của sân golf, gió sông Hồng và hệ thống hồ điều hoà bao quanh khu vực giúp cư dân được tận hưởng cuộc sống thư giãn khi trở về.

Từ biệt thự Him Lam Vĩnh Tuy cư dân có thể dễ dàng kết nối tới các khu vực trung tâm thành phố qua các cầu Chương Dương, cầu Vĩnh Tuy, cầu Long Biên, cầu Thanh Trì...và đặc biệt đây cũng là khu vực điểm cuối của cầu Trần Hưng Đạo sẽ khởi công sắp tới đây, giúp kết nối dự án Him Lam Vĩnh Tuy với trung tâm quận Hoàn Kiếm chỉ 8 phút di chuyển.
Liền kề với biệt thự sân Golf Long Biên Him Lam Vĩnh Tuy là các khu đô thị lớn, không gian đẳng cấp và dân trí cao như Vinhomes Riverside, Vinhomes Ocean Park, khu đô thị Ecopark, khu đô thị Việt Hưng,...với nhiều dịch vụ tiện ích.
Kết nối Him Lam Vĩnh Tuy:
Him Lam Vĩnh Tuy với kết nối thuận tiện trong bán kính gần
Với bán kính chưa đầy 1km quanh dự án Him Lam Vĩnh Tuy là hàng loạt các trung tâm thương mại, bệnh viện, trường học,...đã đi vào hoạt động ổn định.
Trung tâm thương mại: với hàng loạt đại siêu thị Aeon Mall Long Biên, BigC, Vincom Megamall,...
Bệnh viện đa khoa: Vinmec, Tâm Anh, Đa khoa Đức Giang, Viện 108,..
Trường học các cấp: đại học VinUni, trường Vinschool các cấp, trường quốc tế Wellspring, các trường mầm non Việt Hưng, Long Biên,....
Dự án Him Lam Vĩnh Tuy gần với trục đường chính như Quốc lộ 5A, Quốc lộ 5B (Hà Nội - Hải Phòng), đường quốc lộ 1A,cao tốc Hà Nội – Hải Phòng ...giúp dễ dàng kết nối tới các tỉnh thành phố khu vực phía Bắc như Bắc Ninh, Bắc Giang,Hưng Yên, Hải Phòng, Quảng Ninh, Thái Bình,....Đặc biệt từ Him Lam Vĩnh Tuy
Him Lam Vĩnh Tuy 20 phút di chuyển tới sân bay quốc tế Nội Bài
***********
Mặt bằng Biệt thự Him Lam Vĩnh Tuy được triển khai trên diện tích 162,391m2. Số lượng dinh thự 112 căn, diện tích đất mỗi căn 220m2 - 367m2 - 400m2 - 529m2. Tổng diện tích sàn sử dụng mỗi căn 836m2 - 1355m2.
- Xây dựng : 1 hầm, 4 tầng nổi, 1 vườn thượng uyển.
- 1 Clubhouse dành riêng cho 112 căn biệt thự.

Các căn biệt thự đều được phân bổ hợp lý giữa diện tích xây dựng và diện tích sân vườn, được bao bọc bởi không gian xanh mướt mắt từ sân Golf Long Biên.
Mặt bằng Him Lam Vĩnh Tuy Biệt thự sân golf Long Biên được bố trí với 6 block: No1-1, No2-1, No2-2, No3-1, No3-2, No3-3.
Phòng Kinh Doanh: 0961 225 991 (call/zalo)
Zalo tài liệu và bảng giá mới nhất: https://zalo.me/0961225991
Kiến trúc tổng thể của dự án được lấy cảm hứng từ kiến trúc Á Đông kết hợp với nét sang trọng nên dòng sản phẩm biệt thự đang nhận được sự quan tâm lớn bởi phù hợp với nhu cầu người Việt: Trên có thể để ở, dưới thuận tiện kinh doanh.

Dự án Him Lam Vĩnh Tuy gồm tổng số 112 lô Biệt thự đơn lập, biệt thự nhà vườn với thiết kế tân cổ điển được chau chuốt tỉ mỉ trong từng chi tiết, sang trọng từng góc cạnh.
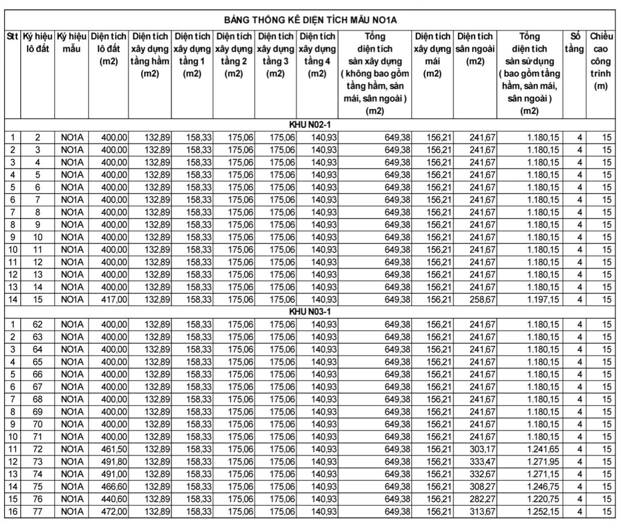
Cơ cấu diện tích dự án Him Lam Vĩnh Tuy
Mỗi căn biệt thự được thiết kế 4 tầng nổi, 1 tầng hầm, sân vườn và bể bơi riêng có diện tích từ 220m2 - 500m2, đáp ứng nhu cầu của các khách hàng muốn không gian sống sang và trong lành. Khu vực hầm có thể tuỳ biến mục đích sử dụng khác nhau như hầm để xe, hầm rượu, phòng giải trí, phòng tập GYM,...
Phối cảnh biệt thự Him Lam Vĩnh Tuy
Phòng Kinh Doanh: 0961 225 991 (call/zalo)
Zalo tài liệu và bảng giá mới nhất: https://zalo.me/0961225991
***********
Khách hàng sở hữu biệt thự dự án Him Lam Vĩnh Tuy còn sở hữu cho mình hệ thống dịch vụ tiện ích đang dạng cùng không gian cảnh quan từ sân Golf Long Biên là sân golf đầu tiên và duy nhất tại miền Bắc có tới 27 đường golf theo tiêu chuẩn PGA.
Tầm view sân Golf Long Biên với cây xanh thảm cỏ mướt mắt.


Clubhouse nội khu Him Lam Vĩnh Tuy
Trong khuôn viên dự án biệt thự Him Lam Vĩnh Tuy sẽ có thêm các tiện ích cơ bản, trường mầm non, nhà hàng, café, đường dạo bộ, thảm cây xanh,…
Bể bơi tại gia mỗi căn Biệt thự sân golf Long
Từ dự án Him Lam Vĩnh Tuy, cư dân có thể dễ dàng di chuyển tới các khu vực tiện ích sẵn có xung quanh dự án như:
Him Lam Vĩnh Tuy nằm kề bên sân Golf Long Biên
Các bệnh viện tuyến Trung ương và Quốc tế: BV đa khoa Đức Giang, BV Hữu Nghị Việt Xô, Bệnh viện 108…; và các bệnh viện quốc tế như: VINMEC, Tâm Anh
Các khu trung tâm thương mại và khu vui chơi giải trí trong bán kính 2KM Khu giải trí & TTTM lớn: AEON Long Biên; sân Golf Long Biên, Vincom, BigC Long Biên.
4km là nghề truyền thống Gốm sứ Bát Tràng: Đây là làng nghề sản xuất gốm sứ rất phát triển không chỉ trong nước mà còn Xuất khẩu đi các nước phát triển và rất được ưa chuộng. Nơi đây cũng là điểm đến ưa thích của khách du lịch khi ghé thăm Hà Nội.
1km: di chuyển bến xe Gia Lâm



- Him Lam Vĩnh Tuy Cách hồ gươm khoảng 6km: Dễ dàng di chuyển sang các quân trung tâm khu vực Hồ Gươm khi đi qua cây cầu Chương Dương và sắp tới có thêm cầu Trần Hưng Đạo.
- Hạ tầng giao thông di chuyển đồng bộ: Long Biên là một quận được quy hoạch đồng bộ về hạ tầng giao thông, từ phường Long Biên dễ dàng đi qua các quận trung tâm thông qua 4 cây cầu: Trần Hưng Đạo, Long Biên, Chương Dương, Vĩnh Tuy, Thanh Trì.
biệt thự Him Lam Vĩnh Tuy đợt 1 mở bán
- Gần sân bay quốc tế: Từ dự án đi Sân Bay Nội Bài chỉ mất 20 phút chạy xe.
- Gần các trường học Công Lâp: Gần các trường công lập chất lượng cao: Mầm non đô thị Việt Hưng, Mầm non Long Biên & THCS Đức Giang, Trung học cơ sở Long Biên, Trường tiểu học, Trung học cơ sở, Trung học phổ thông Thạch Bàn.
- Gần trường học Quốc Tế như Trường WELLSPRING , VINSCHOOL.
- Gần các bệnh viện tuyến Trung ương: BV đa khoa Đức Giang, BV Hữu Nghị Việt Xô, Bệnh viện quân Y 108…; gần các bệnh viện quốc tế: VINMEC, Tâm Anh
***********
Giá bán biệt thự Him Lam Vĩnh Tuy đợt 1 mở bán tháng 12/2025 với giá từ 400 triệu/m2. Một mức giá hiếm có với biệt thự sân golf bậc nhất của Long Biên.
Biệt thự Him Lam Vĩnh Tuy đợt 1 mở bán với giá bán tốt nhất, chính sách tốt nhất, tiến độ thanh toán linh hoạt nhất với số lượng có hạn. Bảng hàng giá bán từng căn sẽ liên tục được cập nhật tại đây theo số HOTLINE.
Phòng Kinh Doanh: 0961 225 991 (call/zalo)
Zalo tài liệu và bảng giá mới nhất: https://zalo.me/0961225991


Mời anh chị ngắm qua tiến độ và hình ảnh xây dựng đến thời điểm tháng 12/2025
Đa phần các căn nhà tại Him Lam Vĩnh Tuy đã xây dựng hoàn thiện xong về phần thô, đủ điều kiện bàn giao cho chủ sở hữu.
Phòng Kinh Doanh: 0961 225 991 (call/zalo)
Zalo tài liệu và bảng giá mới nhất: https://zalo.me/0961225991
Phối cảnh biệt thự Him Lam Vĩnh Tuy sân golf Long Biên

Hình ảnh thực tế biệt thự sân golf Long Biên Him Lam Vĩnh Tuy
Biệt thự sân Golf Long Biên tất cả các căn đều có 2 mặt tiền rộng rãi, tầm view đủ hướng. Tham quan biệt thự, anh chị liên hệ Phụ trách dự án: 0961 225 991

Đặc quyền cư dân Him Lam Vĩnh Tuy thể hiện đẳng cấp của cư dân.




Phòng Kinh Doanh: 0961 225 991 (call/zalo)
Zalo tài liệu và bảng giá mới nhất: https://zalo.me/0961225991
Khu biệt thự Him Lam Vĩnh Tuy.
Địa chỉ: Đường Vũ Lập, phường Long Biên, Hà Nội.
Hotline: 0961225991
Chat Zalo
Chat Facebook
google-site-verification=hg90Q844_wiZL5g9EUVvPQWAmc65rnDBQGoO_xmdDvM